Измерение внутреннего сопротивления аккумуляторов/батареек

В той статье автор ссылается (например) на Алевтину Таганову-Научный консультант ООО «Бустер СПб», канд. техн. наук. Специалист с 30-летним опытом работы в области контроля качества химических источников тока, диагностики их состояния, организации испытаний
У нее 2 статьи нашел,там четко написано-

Омическое сопротивление R Ω может быть измерено при постоянном токе, когда определяется реакция источника тока на разрядный импульс тока, или при переменном токе 1000 Гц (из импедансного спектра в широком диапазоне частот видно, что Imp1000 Нz ≈ R Ω).

Есть ГОСТ,от которого можно отталкиваться-этого достаточно для простых любительских конструкций-ИМХО

ДЗЕН не читаю, опять мне приписывают отсебятину какую то((( читаю такие труды как Чупина Параметрический метод контроля характеристик акб(написал сокращенно), а ГОСТ даже на колбасе написан…

ошибка в том что акб это не просто резистор, как ты себе представляешь… еще раз перечитай свои слова что я выделил, в них наверное ошибка!

Вы оба можете понять что через акб пропускают исследуемый синусоидальный сигнал определенной частоты, и после сравнивают по падению амплитуды сигнала и сдвига фазы, еще немного тригонометрии и получаюи искомую величину!

Да пусть пропускают переменный ток,да хоть штаны через голову пусть одевают-мне это фиолетово,как и ваши домыслы!
Есть общепринятый ГОСТ,я привел цитату кандидата наук-там так и написано " Омическое сопротивление R Ω **может быть измерено при постоянном токе",и я останусь при своем мнении
Я так и измеряю свои аккумуляторы,простой пример-батарея аккумуляторов принесли на запчасти,не держит заряд,разобрал,снял 6 аккумуляторов 18650,все проверил своим способом (измерение емкости и измерение вн сопротивления на постоянном токе),сразу два аккумулятора в мусорку,остальные 4 пошли в дело

Жаль поставил акб на десульфатацию, надо было до измерить внутреннее сопротивление и после, емкость поднялась за неделю с 29ач до 62ач (батарея заявлено 60ач) интересно как изменилось внутреннее сопротивление,прибор для измерения на частоте имеется

Дурной на этом методе промышленные приборы основываются применяемые на производстве акб! А ты вцепился в слово ГОСТ, хрен пойми какой давности и применяешь его к 18650, это уже не нормально… Одумайся! Поясни какое сопротивление тебе выдает твой ГОСТовский замер на твоих 18650, и какое эталонное должно быть к этому проищводителю 18650-х, а эталонное значение сопротивления ты взял измерив какое кол во акб 18650-х и каких производителей, где статистика, на чем основываемся?

Дурью ты маешься, на неделю акб на зарядке забыл😂

А вот обзываться не стоит! И причем тут год?Он 2007 года кстати-намного старше тебя! Закон Ома установлен в 1826 и ничего не изменилось,а у тебя ГОСТ 2009 года уже ничего не стоит…
Статистику не вел-мне она ни к чему
Мой метод самый простой и верный,ошибки нет,доводы привел
А ты-ни одного довода! только ссылка на ссылку,где еще одна ссылка,где только теория,которая мне не нужна от слова ваще!

Зачем мне переменный? У меня постоянный! И даже сильно не меняющийся. Что будет на постоянном если параметры определялись на переменном?

1 лайк

Ну как не изменилось, изменился хим.элемент!
Обидеть не хотел, сорри, это дискуссия! Хотел показать теорию, а тут полное её отрицание… ! Какой тут довод приводить? нужно сначало прочитать теорию, потом доводы будут! От тебя какие доводы, я так делаю - это так себе довод, задал ряд вопросов ответа ноль, на чем стоим не понятно!

лучше промолчу!

Здрасьте!!! Ссылкы дал на ГОСТ,цитата кандидата техн наук Алевтину Таганову (на нее вышел по вашей ссылке на блохера,он ее там упомянул)
Хорошо,допустим (допустим!!! ) вы правы,как мне измерить вн сопротивление аккумулятора вашим методом,не применяя спец оборудования для измерения вн сопротивления?
Меня интересует не слова,а конкретно схема и принцип измерения
Вот есть генератор 1 кГц,есть аккумулятор,мне подсоединить генератор к аккумулятору и что еще?

так я тебе дал диссер Чупина глянь там схема и принцип и формулы, не глядел? А как тогда, краткое содержание, мне что копировать от туда сюда… ну ок, напишу тут так же утрировано, ОУ + микроконтроллер, к примеру stm32. Режим измерения АЦП описывать? может еще основы ЦОС? Фурье? Школьный курс тригонометрии?

Понятно с тобой,кто такой Чупин я не знаю,нашел ГОСТ Р МЭК 61960-3-2019 года для LI аккумуляторов,явно писали его люди умнее тебя-

7.7.3 Измерение внутреннего сопротивления на постоянном токе

7.7.3.1 Измерение
Батарея должна разряжаться постоянным током ![|68x24]В конце периода разряда длительностью (10±0,1) с необходимо измерить и зарегистрировать напряжение разряда под нагрузкой. Затем ток разряда должен быть немедленно увеличен до значения , А, и в конце периода разряда длительностью (1±0,1) с должно быть зарегистрировано соответствующее разрядное напряжение , измеренное под нагрузкой.

Все измерения напряжения следует проводить на выводах батареи независимо от контактов, используемых для передачи тока.

Внутреннее сопротивление батареи на постоянном токе , вычисляют по формуле

, (2)

где - постоянные токи разряда;

, - соответствующие напряжения, измеренные во время разряда.

7.7.3.2 Критерий соответствия

Внутреннее сопротивление батареи на постоянном токе должно быть не более значения , указанного изготовителем.

Т.е. сказать ты ничего не можешь? Тогда зачем все эти разглагольствования про теорию. Из любой теории должен быть практический вывод. Ещё раз прошу ответь на сколько я ошибусь при расчёте падения напряжения на внутреннем сопротивлении ХЭ при измерении внутреннего сопротивления ХЭ по ГОСТ?

т.е. погрешность должен тебе высчитать! это просто будет не верный показатель в принципе, на основание его можно будет делать все что вздумается, как пальцем в небо! или как я писал выше +/- маршрутная остановка в вашем городе! К примеру замер показал 22милиОма, и что дальше, это много или мало, выкидывать акб или послужит… на чем вы делаете основание? Я вот человека просил привести пример замера 18500… сколько в попугаях его там намерялось? Молчит! Спросил статистика есть? Молчит! СПРОШУ ТОГДА ТАК что дает производитель АКБ и на что он ссылается по сопротивлению АКБ, указывает ли ГОСТ применимый или частоту измерения?

Так узнай, давно пора! Эти писульки я прочитал давным давно, для меня ни чего нового!

где я тебе возьму 18500 если таких не существует в природе?
Чудак!

на это все и все что ниже написал отвечу так из диссера Чупина:
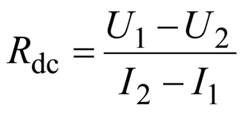
Другая важная характеристика источников тока - их внутреннее сопротивление,
которое определяет уровень рабочего напряжения при нагрузке. В соответствии с государственными стандартами Российской Федерации [2-8] сопротивление
свинцово-кислотных источников тока выражается формулой:

,где I1 и I2 для свинцово-кислотных источников тока принимают значения (4÷6)I10 и
(20÷40)I10 соответственно (I10 – ток десятичасового разряда). Напряжение U1
регистрируется через 20 с после начала протекания I1, а U2 - через 5 с протекания
тока I2.
Разброс сопротивления новых батарей обычно небольшой и не дает реальной
возможности их сортировки. Более точное представление о состоянии свинцовокислотных источников тока может дать анализ их импедансных диаграмм в диапазоне частот от нескольких сот до единиц герц.

Я не пойму-нафиг мне Чупин? есть ГОСТ

что такое диссер? поза в ЛГБТ?
Короче,ваша точка зрения понятна,мне она безразлична от слова совсем!
Есть ГОСТ,номер я привел,там есть измерение на постоянном токе и оно меня всегда устраивало

Поймешь тогда когда прочитаешь, в этом пока проблема! Ездил на самокате, а давно авто существуют!